【話題】 このグラフは人類の 「希望」になる、コロナワクチンの治験結果に反響・・・ワクチンを接種した人の間で新規感染はほぼゼロ

1 名前:押しボタン式の匿名希望者 投稿日時:2020/12/16(水) 15:54:05.95 ID:mVZk2XSj9

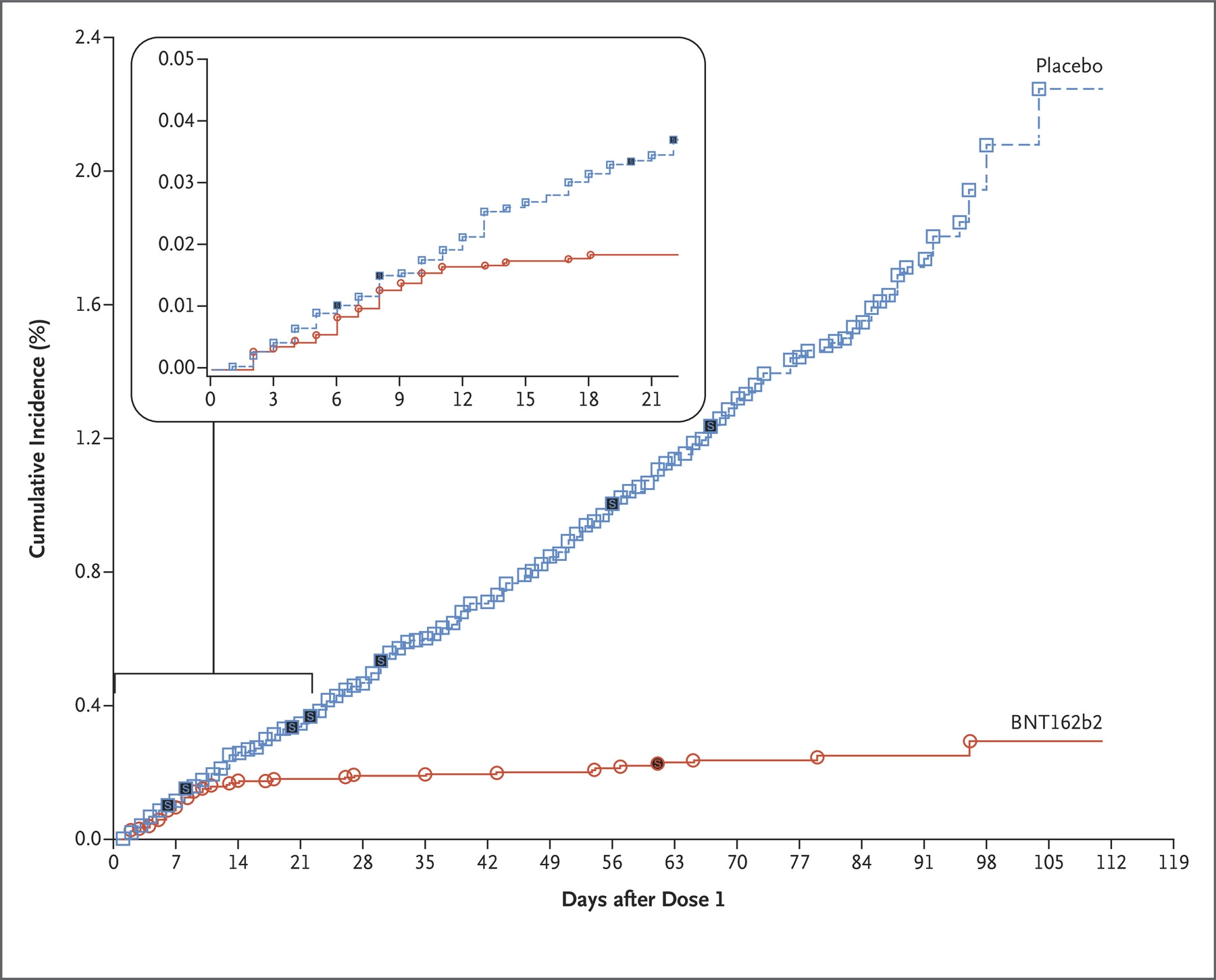
世界中が新型コロナウイルス感染症のパンデミックで苦しんでいる中で、
ファイザーが公開した新型コロナワクチンの治験データは記憶に残るよいニュースとなるだろう。

広くシェアされている新型コロナウイルス感染症(COVID-19)のチャートは、
ワクチンの効能とパンデミック地獄から抜け出す道のりを劇的に表している。

12月10日、米国食品医薬品局(FDA)の諮問委員たちはファイザーの新型コロナワクチンの緊急使用許可(EUA)に賛成票を投じた。
このチャートのデータはその大きな理由のひとつとなっている。

ファイザーとその提携企業であるバイオンテック(BioNTech)が公開した下のグラフは、
新たになRNAワクチンを接種した治験参加者とプラセボを接種した治験参加者との間で、新型コロナウイルスの感染率に差があることを示している。
レス1番の画像サムネイル

プラセボを接種したボランティア群は青線で、新型コロナワクチンを接種したボランティア群は赤線で表示されている。
線が跳ね上がった箇所は新型コロナウイルス感染症の症例が新たに発生したことを示す。

このデータによると、ワクチン接種を受けた最初の1週間は両グループともほぼ同じ割合で感染していた。
しかしその後、感染率に差が現れはじめ、時間が経つごとに差は開いていった。

この結果はワクチンの効果が出たことを示している。ワクチンは数日で効果を発揮し始め、2回めの接種でその効果が増す。
2週間後には、ワクチンを接種した人の間で新規感染はほぼゼロになった。

しかしプラセボを接種したグループについては、時計じかけのような規則性で新規感染が発生し続けた。

著名な免疫学者であるマウント・サイナイ・アイカーン医科大学のフロリアン・クラマー教授は
「コメントはありません。これがワクチンの効果です」とコメントを添えて、画像の1つをツイッターに投稿した。

根拠なく勝ち誇っているのではない。研究者らが1年をかけて取り組んできた結果なのだ。

このグラフのデータには噂や政治的配慮、放言は一切ない。一言で言うなら、このワクチンはこれまでに我々が目にした最良のものだ。

ファイザーは、「ニューイングランド・ジャーナル・オブ・メディシン(New England Journal of Medicine )」誌に
12月10日に掲載された論文中でこのチャートを公開した。

ファイザーの示した証拠の確かさは、ワクチンが診療所や病院に届くころには、かつてないほど重みを増していくだろう。
反ワクチン勢力はソーシャルメディアでワクチンへの恐怖を煽り立てており、一般の人々でさえ接種すべきかどうか迷っている。

ワクチンによって感染症はあっという間に災いから悪い思い出へと変わってしまうことを、研究者は昔から知っていた。
その発明以来、特に20世紀の間に、ワクチンはいくつもの感染症を過去のものへと変えていった。

ファイザーのチャートは死者数グラフの解毒剤だ。私たちがパンデミックのジェットコースターから、いかにして降りられるかを示している。

ファイザー(あるいは他の企業の)新型コロナワクチンの接種を受ける人々が増えれば増えるほど、
安全で保護された赤い曲線の上で生活できる人々が増えていくだろう。

いつ新型コロナウイルスに感染するか分からない青い曲線の上で暮らさなくてもよくなる。

これは今年を象徴するグラフになるだろう。日常に戻るとはこういうことだ。
https://www.technologyreview.jp/s/227969/the-chart-that-shows-how-well-get-back-to-normal/

2 名前:押しボタン式の匿名希望者 投稿日時:2020/12/16(水) 15:55:01.16 ID:3V3bInY10
人類の本気ってスゴいな
3 名前:押しボタン式の匿名希望者 投稿日時:2020/12/16(水) 15:55:44.65 ID:iJVAGEm70
なんだもう終わりか
4 名前:押しボタン式の匿名希望者 投稿日時:2020/12/16(水) 15:56:21.49 ID:/5zCTyL60
日本も早く承認しろよ
5 名前:押しボタン式の匿名希望者 投稿日時:2020/12/16(水) 15:56:38.59 ID:omUeKx5f0
変異種でデータ取ってから言え
6 名前:押しボタン式の匿名希望者 投稿日時:2020/12/16(水) 15:57:06.40 ID:ot4wvXn90
これ、生体実験したの?
13 名前:押しボタン式の匿名希望者 投稿日時:2020/12/16(水) 16:01:01.40 ID:/5zCTyL60
>>6
治験は終わってイギリスとアメリカでは今月から接種が始まってるワクチンだよ
7 名前:押しボタン式の匿名希望者 投稿日時:2020/12/16(水) 15:57:12.63 ID:PeV1yMHl0
無症状でも後遺症がーと煽ってた奴に打ってみせろ
8 名前:押しボタン式の匿名希望者 投稿日時:2020/12/16(水) 15:59:11.44 ID:QNJ2NCf20
神のみぞ知る
9 名前:押しボタン式の匿名希望者 投稿日時:2020/12/16(水) 15:59:29.56 ID:up4uKoaH0
人類は二度と風邪をひかなくなるのな
10 名前:押しボタン式の匿名希望者 投稿日時:2020/12/16(水) 16:00:01.42 ID:ThuwPVFy0
>>1
2年くらい経つまでは信用ならん
11 名前:押しボタン式の匿名希望者 投稿日時:2020/12/16(水) 16:00:28.34 ID:GsQPOPyG0
虚偽捏造は韓国の特許ニダ
12 名前:押しボタン式の匿名希望者 投稿日時:2020/12/16(水) 16:00:59.23 ID:tvy/cM2E0
副作用で体がボロボロになるかもしれない
14 名前:押しボタン式の匿名希望者 投稿日時:2020/12/16(水) 16:01:40.95 ID:3qW8iaSE0
コロナ終了だな
他の薬をとかワクチンも10年も治験してないでもっと短くしてくれよ
リスクよりメリットのがでかいだろ
16 名前:押しボタン式の匿名希望者 投稿日時:2020/12/16(水) 16:01:47.57 ID:MhXM0McC0
副作用わかんないしまずはジジババからご招待して打っとこう
17 名前:押しボタン式の匿名希望者 投稿日時:2020/12/16(水) 16:02:03.79 ID:M3kfFvZU0
数年後、このワクチンを摂取した人の髪の毛がどんどん抜けていく・・・
18 名前:押しボタン式の匿名希望者 投稿日時:2020/12/16(水) 16:02:21.73 ID:yhpcld6F0
つか菅が待ってたのがワクチン接種。GOTO続けれるじゃん
21 名前:押しボタン式の匿名希望者 投稿日時:2020/12/16(水) 16:03:18.33 ID:3qW8iaSE0
>>18
日本で摂取できるのは早くて来年4月かららしい
19 名前:押しボタン式の匿名希望者 投稿日時:2020/12/16(水) 16:02:54.71 ID:dItR4f1n0
イギリスの女王と爺さんは受けたの?
20 名前:押しボタン式の匿名希望者 投稿日時:2020/12/16(水) 16:02:55.51 ID:F43g1HQf0
アメじゃ治験にしろ初期接種にしろ偽装はよくあるよ。
各国前金で10億人分振り込めば目的は達せられる。
ワクチンは全く無効ではないが、全く安全でもない。
しかも緊急承認だwww
25 名前:押しボタン式の匿名希望者 投稿日時:2020/12/16(水) 16:04:48.05 ID:+cIZdbzr0
>>20
全く安全な薬もワクチンもない
ロキソニンやバファリンだって毎年何人か死んでる
35 名前:押しボタン式の匿名希望者 投稿日時:2020/12/16(水) 16:06:55.10 ID:H54MODzp0
>>25
だね
打ちたくなきゃ打たないでいいよ
その代わりネガティブなことばかり言って他人を巻き込もうとするなよって感じかね
22 名前:押しボタン式の匿名希望者 投稿日時:2020/12/16(水) 16:03:33.73 ID:odQUyya40
早くデリヘルに行けるようになりますように!!
23 名前:押しボタン式の匿名希望者 投稿日時:2020/12/16(水) 16:03:59.95 ID:k9TB5To70
前のめりなデータは話半分だなぁ
まぁ1年後2年後には分かるだろう
ヒトバシラに期待
24 名前:押しボタン式の匿名希望者 投稿日時:2020/12/16(水) 16:04:04.74 ID:wIRo3UO90
>>1
こういうの真に受けるヤツはサリドマイド事件とかで薬飲んじゃって
真っ先に被害者になるんだよね
26 名前:押しボタン式の匿名希望者 投稿日時:2020/12/16(水) 16:05:15.42 ID:RzAOUv3U0
4ヶ月効果持続すれば万々歳だな
インフルエンザ並に年1回の予防接種でよくなる
40 名前:押しボタン式の匿名希望者 投稿日時:2020/12/16(水) 16:07:52.21 ID:yhpcld6F0
>>26
そうなるだろ。コロナってインフルの亜種だし
27 名前:押しボタン式の匿名希望者 投稿日時:2020/12/16(水) 16:05:35.33 ID:2fCn1x9r0
アホがまた後遺症がーとか副作用がーとか騒ぎだすんだろ
28 名前:押しボタン式の匿名希望者 投稿日時:2020/12/16(水) 16:05:47.33 ID:H3jRCLGH0
けっきょく新しい生活様式は早々と過去のものになるんだなwww
あんだけ地方移住とか煽ってたのは何だったんだ?
29 名前:押しボタン式の匿名希望者 投稿日時:2020/12/16(水) 16:06:12.61 ID:E217M+9Z0
信用できない
30 名前:押しボタン式の匿名希望者 投稿日時:2020/12/16(水) 16:06:21.87 ID:Kmmaf+7G0
日本は早くて6月だろ
31 名前:押しボタン式の匿名希望者 投稿日時:2020/12/16(水) 16:06:27.82 ID:/cec5D7t0
遺伝子ワクチンは割と効くと思うな
ただ、生殖細胞を傷つけないかが心配だわ
32 名前:押しボタン式の匿名希望者 投稿日時:2020/12/16(水) 16:06:36.85 ID:WOj6qjhZ0
日本は子宮頸癌ワクチンですら副作用がーで潰したし
コロナワクチンでも騒いで収束がかなり遅れるんだろうな
33 名前:押しボタン式の匿名希望者 投稿日時:2020/12/16(水) 16:06:38.77 ID:GOPjgNi00
欧米でOKでも日本人に打つと副作用出たりするから油断はできんよな
34 名前:押しボタン式の匿名希望者 投稿日時:2020/12/16(水) 16:06:52.52 ID:7Z3fmigv0
よし勝ったな!冬の間、ずっと風呂入ってる
37 名前:押しボタン式の匿名希望者 投稿日時:2020/12/16(水) 16:07:27.23 ID:EnE7idg40
あとは副作用か
ワープスピードで治験が少ないから自分はもう少し待つ
38 名前:押しボタン式の匿名希望者 投稿日時:2020/12/16(水) 16:07:27.56 ID:Kmmaf+7G0
打つとき痛いんかな今年のインフルワクチン痛かった
39 名前:押しボタン式の匿名希望者 投稿日時:2020/12/16(水) 16:07:37.18 ID:5tlNFam70
ほぼ?
感染者何人居たの
41 名前:押しボタン式の匿名希望者 投稿日時:2020/12/16(水) 16:07:55.33 ID:a0WwI45I0
夢の薬と売り込んで消えていった薬は数知れず
42 名前:押しボタン式の匿名希望者 投稿日時:2020/12/16(水) 16:08:06.55 ID:ULZMcl020
副作用とか気にする奴に限って、日本製で先発と同じ安いと何も考えず小林化工のジェネリック飲んで死ぬんだろ
43 名前:押しボタン式の匿名希望者 投稿日時:2020/12/16(水) 16:08:17.14 ID:/BHnIGlN0
今日が我々の インディペンデンスデイだ!! って演説しないの??バイデンまだトランプ?
44 名前:押しボタン式の匿名希望者 投稿日時:2020/12/16(水) 16:08:49.29 ID:pl2bV5Y+0
普通のインフル予防注射でも
副反応出る人は出るからな

俺は打った翌日ちょっと熱が出る

45 名前:押しボタン式の匿名希望者 投稿日時:2020/12/16(水) 16:09:06.83 ID:Kmmaf+7G0
痛風の薬が効くらしい
46 名前:押しボタン式の匿名希望者 投稿日時:2020/12/16(水) 16:09:08.75 ID:7Z3fmigv0
グラフ推移をみる限り、打ってから7~10日ぐらいはまだ効果がない感じか。
ワクチン接種で即ヒャッハー、はだめということか
47 名前:押しボタン式の匿名希望者 投稿日時:2020/12/16(水) 16:09:24.61 ID:I2KKb+eo0
風俗のお姉さん達に優先的に射ってあげて
48 名前:押しボタン式の匿名希望者 投稿日時:2020/12/16(水) 16:09:44.25 ID:+K05jCY+0
あとどれぐらいの期間有効なんだ?
変異したら終了後しちゃうかもね
逆に重症化の引き金になるかも
55 名前:押しボタン式の匿名希望者 投稿日時:2020/12/16(水) 16:11:16.26 ID:46mL7muH0
>>48
なんの根拠もないのに
かもかも言って難癖つけるだけのやつは家にこもってたほうがいいぞ
59 名前:押しボタン式の匿名希望者 投稿日時:2020/12/16(水) 16:12:21.55 ID:+K05jCY+0
>>55
このワクチン候補で収束する根拠もないのに
65 名前:押しボタン式の匿名希望者 投稿日時:2020/12/16(水) 16:13:40.05 ID:ULZMcl020
>>59
お前は永遠に引き篭もってればいいぞ、誰も困らん
70 名前:押しボタン式の匿名希望者 投稿日時:2020/12/16(水) 16:14:54.33 ID:46mL7muH0
>>59
このデータ出されても根拠と考えられない人はずーっと家にいなよ
49 名前:押しボタン式の匿名希望者 投稿日時:2020/12/16(水) 16:10:01.40 ID:457PaU3/0
みんな先を争って接種してくれ
俺は最後で我慢するから
61 名前:押しボタン式の匿名希望者 投稿日時:2020/12/16(水) 16:12:48.92 ID:ULZMcl020
>>49
人数分無いらしい
50 名前:押しボタン式の匿名希望者 投稿日時:2020/12/16(水) 16:10:05.26 ID:ZyzYNU3m0
反知性反ワクチンは放っとけ
科学の進歩に万歳
51 名前:押しボタン式の匿名希望者 投稿日時:2020/12/16(水) 16:10:16.07 ID:5pivP5uN0
RNA書き換えて自分の体が永遠にコロナ生成するようになるんだろ?弱った時にアレルギー出たり発症して死ぬんじゃね?
66 名前:押しボタン式の匿名希望者 投稿日時:2020/12/16(水) 16:13:46.63 ID:H54MODzp0
>>51
話半分だけ理解してる感じだな
ウイルス自体を作るんじゃないよ
コロナウイルスが持ってるトゲトゲと同じの作るだけ
52 名前:押しボタン式の匿名希望者 投稿日時:2020/12/16(水) 16:10:34.13 ID:zVsRL8ej0
接種者2名死んだと聞いたがワクチン治験では普通の数字なのかな
71 名前:押しボタン式の匿名希望者 投稿日時:2020/12/16(水) 16:15:09.33 ID:6Tn4vWhF0
>>52
4万人に半々に打ってワクチンは2人、プラセボは4人死亡だから両者に差はない
53 名前:押しボタン式の匿名希望者 投稿日時:2020/12/16(水) 16:10:36.42 ID:eyJICTPq0
そしてウイルスがより強力になるんだな
54 名前:押しボタン式の匿名希望者 投稿日時:2020/12/16(水) 16:11:00.51 ID:yhpcld6F0
初期のワクチン接種は避けたいな。みんながなんともなかったら打つわ
56 名前:押しボタン式の匿名希望者 投稿日時:2020/12/16(水) 16:11:38.83 ID:7Z3fmigv0
最後の奴は社会が、ワクチン組がバンバン働き社会が正常化した後も引き籠るダメ人間扱いになるぞ
57 名前:押しボタン式の匿名希望者 投稿日時:2020/12/16(水) 16:11:44.26 ID:ivRqqd1/0
逆に言えばこれがダメなら打つ手なしの絶望が待っているということ
58 名前:押しボタン式の匿名希望者 投稿日時:2020/12/16(水) 16:12:09.48 ID:ILWEEAwl0
風俗とデリヘルさんに優先的に打つべき
60 名前:押しボタン式の匿名希望者 投稿日時:2020/12/16(水) 16:12:46.15 ID:yzQtwDCm0
これ夜の街住人から接種した方がええんちゃうの
62 名前:押しボタン式の匿名希望者 投稿日時:2020/12/16(水) 16:12:51.54 ID:1qm8CSW10
これでコロナが移っても大丈夫だな。風俗行ってくる!(`・ω・´)
63 名前:押しボタン式の匿名希望者 投稿日時:2020/12/16(水) 16:13:20.48 ID:2Q1seie90
>>62
先に死んてどうする
64 名前:押しボタン式の匿名希望者 投稿日時:2020/12/16(水) 16:13:32.02 ID:YaFAccrZ0
2週間引きこもれば勝利か
67 名前:押しボタン式の匿名希望者 投稿日時:2020/12/16(水) 16:14:25.44 ID:7Z3fmigv0
ワクチン打つ前に感染してしまうと壊れた肺は戻らんからな。
日本にワクチン入ってくるまで冬眠生活だろ
68 名前:押しボタン式の匿名希望者 投稿日時:2020/12/16(水) 16:14:35.06 ID:WgFmBfWe0
アメリカやヨーロッパでの感染率と日本での感染率では明らかに有意な差が出ているが、
その原因が特定されていない。(環境要因なのか、人種的な要因によるのかも)
そのような状況下で、日本でアメリカ型のコロナワクチンを接種してもいいのだろうか?
72 名前:押しボタン式の匿名希望者 投稿日時:2020/12/16(水) 16:15:17.57 ID:H54MODzp0
>>68
日本でも治験が既に始まってるの知らないのかな

コメント

タイトルとURLをコピーしました